
문제 풀이
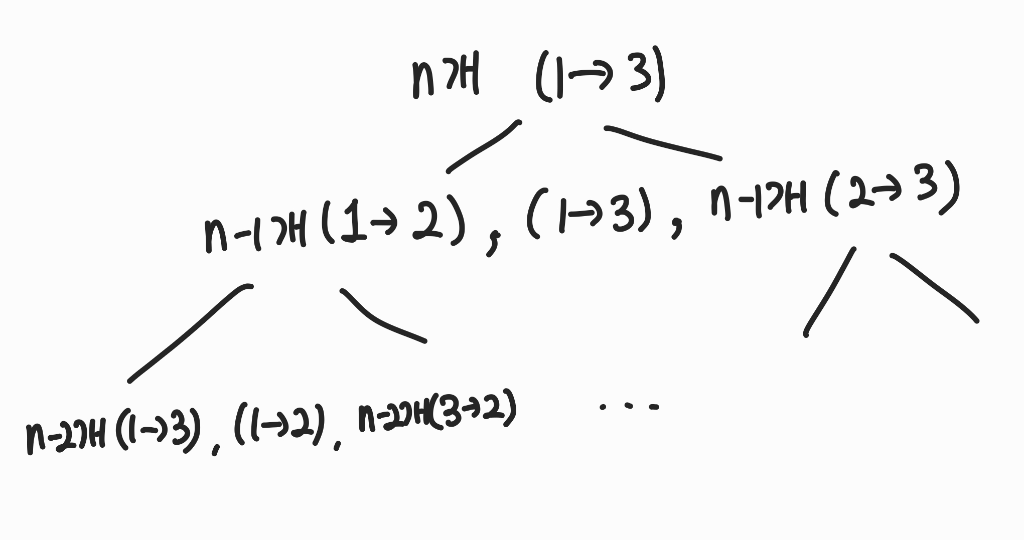
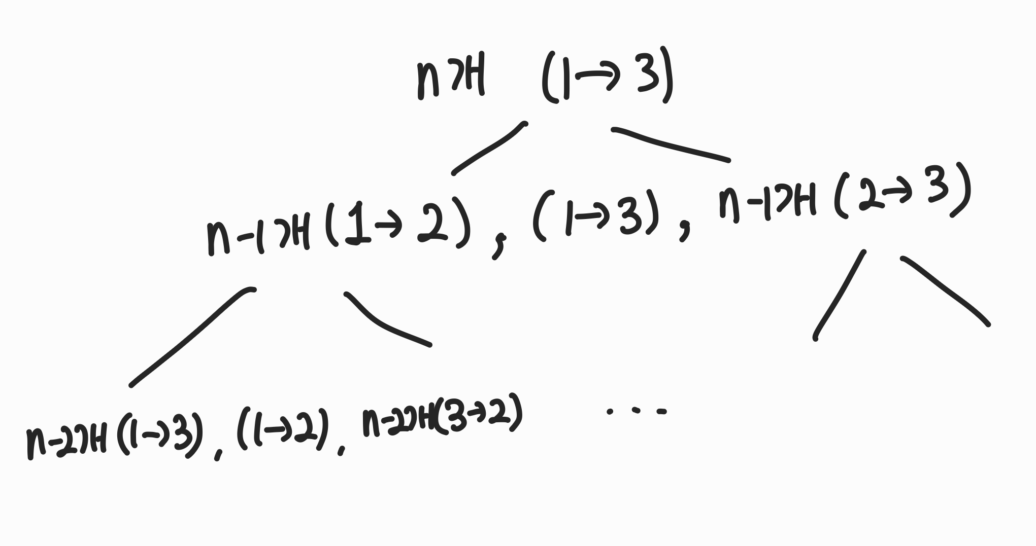
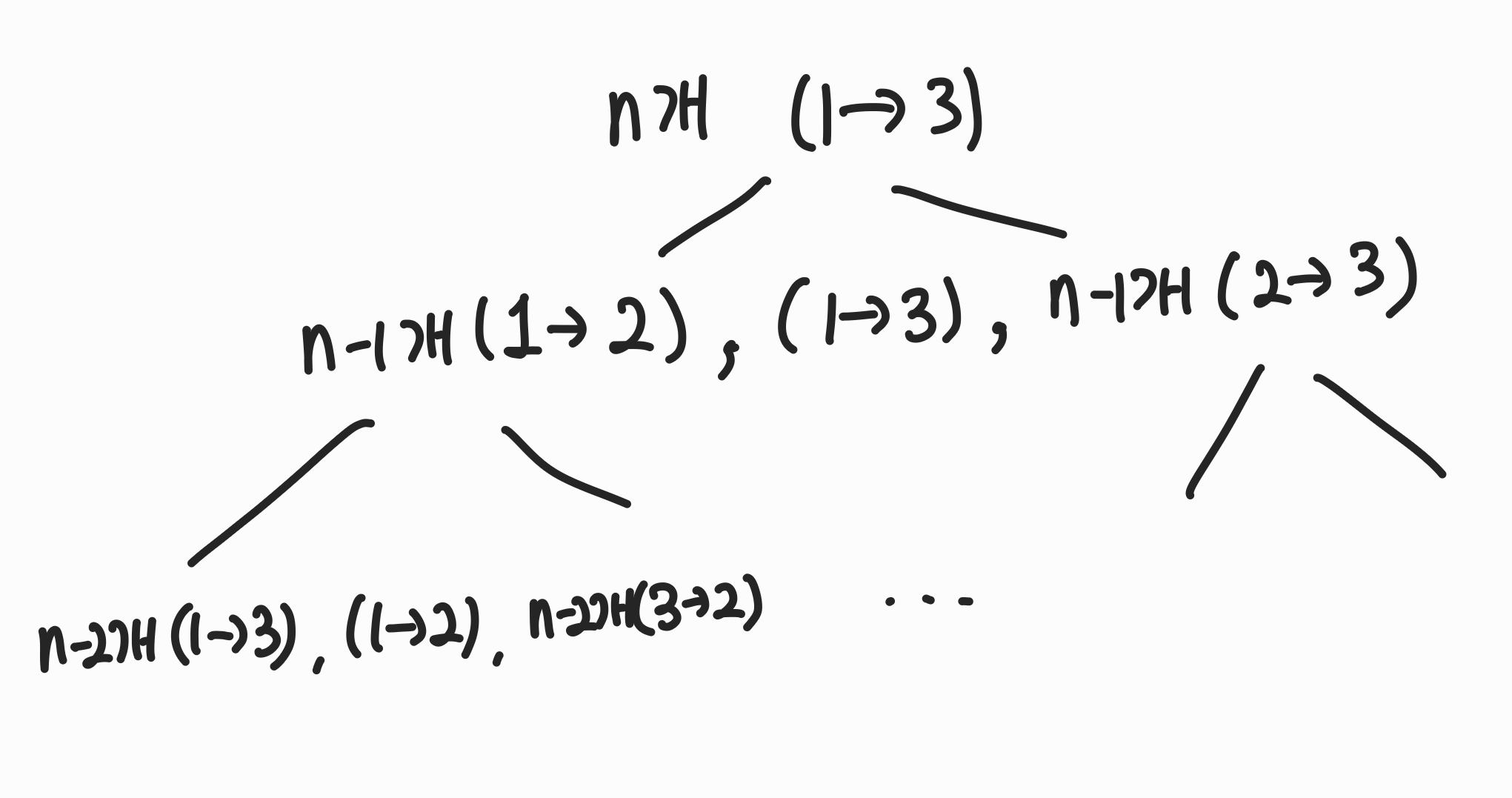
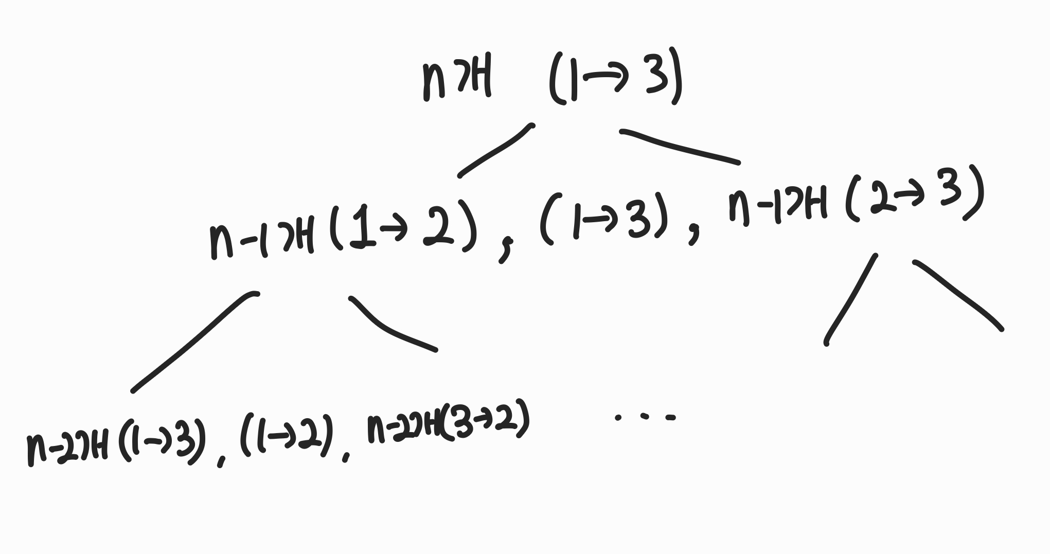
하노이의 탑 문제는 n개의 원판을 1번 기둥에서 3번 기둥으로 옮기는 문제이다.
n개의 원판을 (1 -> 3)으로 이동하려면
n-1개의 원판을 (1 -> 2) 로 옮기고, 마지막 원판을 (1->3) ,n-1개 원판을 (2->3)으로 옮기면 된다.

위 처럼 진행 되는 문제이다!
이를 재귀를 통해서 n == 1 일 때 까지 반복해서 풀면 된다.
소스 코드
#include <string>
#include <vector>
#include <iostream>
using namespace std;
vector<vector<int>> answer;
void hanoi(int start, int end, int target, int cnt){
if(cnt == 1){
answer.push_back({start, target});
}
else{
hanoi(start, end, 6 - (start+target), cnt-1);
answer.push_back({start, target});
hanoi(6 - (start+target), end, target, cnt - 1);
}
}
vector<vector<int>> solution(int n) {
hanoi(1,3,3,n);
return answer;
}'알고리즘' 카테고리의 다른 글
| [백준] 3190번 뱀 Python 문제풀이 (2) | 2024.04.18 |
|---|---|
| [백준] 9576번 책 나눠주기 C++ 문제풀이 (0) | 2024.02.26 |
| [프로그래머스] 두 원 사이의 정수 쌍 C++ 문제풀이 (0) | 2024.02.22 |
| [프로그래머스] 달리기 경주 C++ 문제풀이 (1) | 2024.02.13 |
| [백준] 1753번 최단경로 구하기 C++ 문제풀이 (0) | 2024.02.04 |